Autômatos
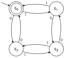
Aplicação de um autômato através de grafos
Um autômato funciona como um reconhecedor de uma determinada linguagem e serve para modelar uma máquina ou, se quiserem, um computador simples. É usado, por exemplo, em editores de texto para reconhecer padrões. Um conceito fundamental nos autômatos é o conceito de estado. Este conceito é aplicado a qualquer sistema, por exemplo, à nossa televisão. As noções de estado e sistema são tão onipresentes que foi desenvolvido um campo de conhecimento chamado Teoria dos sistemas. Uma televisão pode estar ligada(on) ou desligada(off), temos então um sistema com dois estados.
Tipos de Autômatos:
